ABONAMENTE VIDEO REDACȚIA
RO
EN
NOU
Numărul 165
Numărul 164 Numărul 163 Numărul 162 Numărul 161 Numărul 160 Numărul 159 Numărul 158 Numărul 157 Numărul 156 Numărul 155 Numărul 154 Numărul 153 Numărul 152 Numărul 151 Numărul 150 Numărul 149 Numărul 148 Numărul 147 Numărul 146 Numărul 145 Numărul 144 Numărul 143 Numărul 142 Numărul 141 Numărul 140 Numărul 139 Numărul 138 Numărul 137 Numărul 136 Numărul 135 Numărul 134 Numărul 133 Numărul 132 Numărul 131 Numărul 130 Numărul 129 Numărul 128 Numărul 127 Numărul 126 Numărul 125 Numărul 124 Numărul 123 Numărul 122 Numărul 121 Numărul 120 Numărul 119 Numărul 118 Numărul 117 Numărul 116 Numărul 115 Numărul 114 Numărul 113 Numărul 112 Numărul 111 Numărul 110 Numărul 109 Numărul 108 Numărul 107 Numărul 106 Numărul 105 Numărul 104 Numărul 103 Numărul 102 Numărul 101 Numărul 100 Numărul 99 Numărul 98 Numărul 97 Numărul 96 Numărul 95 Numărul 94 Numărul 93 Numărul 92 Numărul 91 Numărul 90 Numărul 89 Numărul 88 Numărul 87 Numărul 86 Numărul 85 Numărul 84 Numărul 83 Numărul 82 Numărul 81 Numărul 80 Numărul 79 Numărul 78 Numărul 77 Numărul 76 Numărul 75 Numărul 74 Numărul 73 Numărul 72 Numărul 71 Numărul 70 Numărul 69 Numărul 68 Numărul 67 Numărul 66 Numărul 65 Numărul 64 Numărul 63 Numărul 62 Numărul 61 Numărul 60 Numărul 59 Numărul 58 Numărul 57 Numărul 56 Numărul 55 Numărul 54 Numărul 53 Numărul 52 Numărul 51 Numărul 50 Numărul 49 Numărul 48 Numărul 47 Numărul 46 Numărul 45 Numărul 44 Numărul 43 Numărul 42 Numărul 41 Numărul 40 Numărul 39 Numărul 38 Numărul 37 Numărul 36 Numărul 35 Numărul 34 Numărul 33 Numărul 32 Numărul 31 Numărul 30 Numărul 29 Numărul 28 Numărul 27 Numărul 26 Numărul 25 Numărul 24 Numărul 23 Numărul 22 Numărul 21 Numărul 20 Numărul 19 Numărul 18 Numărul 17 Numărul 16 Numărul 15 Numărul 14 Numărul 13 Numărul 12 Numărul 11 Numărul 10 Numărul 9 Numărul 8 Numărul 7 Numărul 6 Numărul 5 Numărul 4 Numărul 3 Numărul 2 Numărul 1
×
▼ LISTĂ EDIȚII ▼
Numărul 41
Abonamente

Sistem de poziționare pentru spații închise bazat pe semnal Wi-Fi

Bogdan Oniga
Graduate Application Security & Assurance Analyst @Betfair



Iacob Nasca
Principal Developer @ Betfair



PROGRAMARE

Probabil majoritatea dintre voi au văzut binecunoscutul film "Enemy of the state", film în care este prezentată ideea conform căreia NSA poate afla unde ești localizat, fără ca tu să știi, doar cu ajutorul telefonului mobil. Ideea filmului lansat în 1998 părea science-fiction la acea vreme, dar în zilele noastre inclusiv 2-3 oameni pot face un sistem de acest gen, singura necunoscută fiind accesul la meta-date. 

Acestea fiind spuse, în cadrul evenimentului Fedex Day organizat în cadrul companiei Betfair din Cluj, am avut și noi ocazia de a realiza un sistem de acest gen. Ceea ce a făcut să fie și mai interesant și mai provocator a fost faptul că evenimentul Fedex este organizat într-un interval de doar 24 de ore și cu resurse sau instrumentar care nu sunt ale unei agenții secrete. Cu toate acestea, ne-am gândit să încercăm.

Problema: Am putea monitoriza diverși colegi sau dispozitive în cadrul biroului? Problema cea mai delicată este faptul că, de cele mai multe ori, aflarea unei poziții în funcție de semnal (GSM, GPS șamd) se face cu o marjă de eroare destul de mare, ceea ce într-un birou nu prea este acceptabilă pentru că spațiul unui office nu poate fi comparat cu zona geografică a unui oraș.

Soluția: După câteva ore de cercetare am descoperit că ar exista deja unele soluții pe piață, dar că majoritatea nu ne-ar ajuta foarte mult, deoarece ori sunt sisteme private, ori sunt contra cost… Apoi, cu siguranță nu ar fi la fel de distractiv.

Ceea ce am încercat noi, era să avem locația tuturor dispozitivelor conectate în rețeaua internă pe baza fapului că erau fără fir și conectate pe Wi-Fi. Biroul nostru are mai multe puncte de access (AP) fără fir, iar toate acestea sunt administrate independent de către un panoul de control central.

Primul pas a fost interogarea Wireless Lan Controller (WLC) prin intermediul protocolului SNMP și a căuta lista cu toate punctele de acces (AP) Wi-Fi prin intermediul metodei SNMP Walk pe cLApIfMacAddress. Pentru fiecare AP din listă, am extras toate dispozitivele conectate la el (bsnMobileStationMacAddr + Adresa MAC a AP-ului în sistem zecimal) și puterea semnalului (Received Signal Strength Indicator - RSSI) (bsnMobileStationRssiData + Adresa MAC a dispozitivului în sistem zecimal + Adresa MAC a AP-ului în sistem zecimal). Se pot interoga foarte multe informații despre dispozitive (IP, VLAN, metoda de criptare șamd), dar noi am mers strict pe variabilele expuse mai sus pentru a ne atinge scopul.

Puterea semnalului (RSSI) este dat în dBm, deci pasul al doilea ar fi convertirea acestor date în metri.

Pentru a calcula distanța în metri dintre AP și dispozitiv avem nevoie de doi parametri, și anume: puterea semnalului și frecvența semnalului. Formula de calcul este forma transformată a Free Space Path Loss (FSPL):

Pentru distanța în metri și frecvența în MHz, constanta K are valoarea -27.55, puterea de emisie (Ptx) peste 20dBm (100mW) și frecvența de 2412MHz (2.4GHz) de unde reiese o funcție simplă prin care se face transformarea.

De exemplu, pentru signalLevel egal cu -57dBm, rezultatul va fi 7.000397427391188 metri.

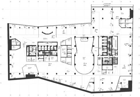
Având toate aceste informații, am avut nevoie de o hartă la scală a locului și locațiile AP-urilor și să transformăm distanța la nivel de pixeli. Pentru harta, am folosit o scală de 16px/1m.

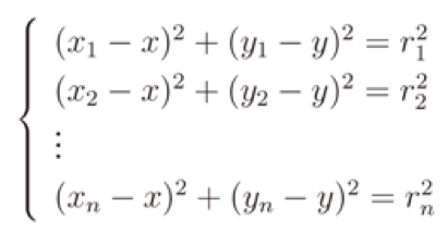
Pentru a indica poziția dispozitivului pe hartă în funcție de informațiile disponibile am utilizat multilaterația. Problema multilaterației este scrisă astfel:

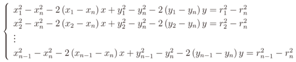
unde, n este numărul de AP care recepționează semnal de la dispozitiv (valoarea RSSI), D = (X,Y) este poziția dispozitivului, APi = (Xi, Yi) pozițiile AP-urilor, și Ri este distanța măsurată dintre AP și dispozitiv. Este un sistem non linear, dar liniarizarea este posibilă prin substragerea celei de-a "i"-a ecuație din toate cele n-1 ecuații:

În urma calculelor ne-am așteptat ca toate cercurile să se intersecteze într-un singur punct, însă în cazul real măsurătorile erau afectate de erori, iar cercurile se intersectau în mai mult de un punct. Toate aceste puncte de intersecție identifică o arie iar precizia soluției este afectată.

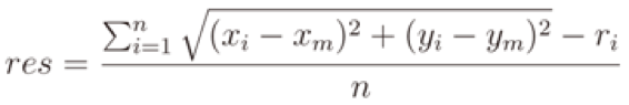
Dm = (Xm, Ym) este poziția estimată a dispozitivului.

Pasul final a fost de a adăuga elemente grafice de HTML5 (HTML5 Smoke and mirrors) pentru a afișa toate informațiile obținute de la echipamentul de rețea și pentru a vedea mișcarea dispozitivului în timp real pe hartă.

Din păcate, pentru că informațiile de la AP-uri se actualizau o dată la 3 secunde, poziția afișată în timp real era de fapt poziția afișată o dată la 3 secunde. Această durată de actualizare poate fi neglijată, deoarece într-un birou de dimensiuni mari în 3 secunde nu poți parcurge o distanță foarte mare și vei fi localizat tot în aria de eroare până la următoarea măsurare.

Soluția finală arăta astfel

Conferință TSM

NUMĂRUL 165 - CyberSecurity & AI

Sponsori

  • BT Code Crafters
  • Betfair
  • MHP
  • .msg systems
  • P3 group
  • Cognizant Softvision
  • BMW TechWorks Romania

INTERVIURI